Why Biocelk?

Personalized Diagnosis

Highly Qualified Medical Team and Personnel

Largest and Most Reliable Cell Bank in Latin America

Cutting-edge Technology

Dermo-aesthetic: Skin Rejuvenation and Regeneration

Regenerative medicine makes it possible to delay and slow skin aging, loss of elasticity, sagging, dark spots, stretch marks, and dermal scarring through the application of mesenchymal stem cells.

Chronic ulcers and wounds

Burns

Scars

Skin aging

Alopecia

What is it?

Who is this for?

How does it work?

Clinical Benefits

At Biocelk®, we take skin care to the next level with highly specialized regenerative medicine designed to help you recover a healthier, more even, and visibly revitalized appearance.

Chronic Ulcers and Wounds

8 out of 10 complex wounds may heal faster with dermal cells!

For many people, a wound that does not heal means weeks of discomfort, risk of infection, and the constant concern of whether the skin will be able to recover completely. Zomer and collaborators from the Federal University of Santa Catarina (2019) evaluated the potential of mesenchymal cells obtained from the dermis and adipose tissue to support the healing of skin wounds. The results showed that dermis-derived cells achieved a higher proliferation rate, faster wound closure, and a more powerful paracrine effect on key repair cells such as fibroblasts and keratinocytes, in addition to inducing more new blood vessels.

Dermal cells have great potential to accelerate wound recovery and improve skin regeneration.

If you are dealing with a difficult-to-heal wound, you may want to explore whether dermis-derived stem cell therapies could be an effective option for your case.

More than 95% of diabetic ulcers may heal faster with umbilical cord stem cells!

For a person living with diabetes, a foot ulcer that does not close is much more than a wound: it is a constant threat of serious infection and, in more severe cases, the possibility of losing a limb. Zhang and collaborators, in their study published in Stem Cell Research & Therapy (2022), evaluated the efficacy of umbilical cord mesenchymal stem cells in 14 patients with diabetic foot ulcers and peripheral arterial disease who had no surgical options. The results showed that more than 95% of the ulcer area closed in just 1.5 months after treatment (Figure 2), and 100% of patients remained amputation-free  the three-year follow-up, with a favorable safety profile. Umbilical cord stem cells could be an excellent option for regenerating tissue in chronic wounds, reducing the risk of amputation in patients with diabetes. If you have a diabetic ulcer that is not responding to conventional treatments, we invite you to consider this cellular therapy as a possible alternative.

Figure 1. (Left) Percentage of in vitro wound closure of skin cells. After 24 hours, cmDSCs promoted 1.5 times greater wound closure in dermal fibroblasts. (Right) Photomicrograph of the in vitro wound-closure quantification 24 hours after injury. doi.org/10.1002/term.2820

Figure 2. Remission of clinical symptoms in patients with ulcers, 1.5 months after treatment. doi.org/10.1186/s13287-022-03143-0  

Burns

Complete closure of deep burns with mesenchymal stem cells!

Figure 4. The designated treatment area on the left arm measured 29 cm². (a) Before treatment and (b) one year after treatment. The dotted line outlines the treated area of the original wound. Greater hair development was observed at the BM-MSC treatment site. BM-MSC treatment may have created an optimal environment that supported hair growth. doi: 10.1177/20595131211070783

A deep second-degree burn is not only a painful injury; it also involves weeks of uncertain recovery, the risk of severe fibrosis, and permanent scars that affect both the function and appearance of the skin. Schulman and collaborators from the Interdisciplinary Stem Cell Institute at the University of Miami, in their study published in Scars, Burns & Healing (2022), administered allogeneic bone marrow mesenchymal stem cells directly onto deep second-degree burns in ten patients. The results showed complete wound closure in all participants (Figures 3 and 4), with a dose-dependent effect and no relevant adverse events during follow-up. Cell therapy with mesenchymal stem cells can promote more efficient and organized regeneration of burned tissue, reducing the risk of excessive fibrosis and improving the quality of recovery. If you have experienced a significant burn and are looking for alternatives beyond conventional treatment, we invite you to explore whether this option may be right for you.

Schedule your evaluation and discover how Biocelk® can take your skin care to a much more advanced level.

Scars

Stem cells can improve the texture, elasticity, and appearance of scarred skin.

Keloids are one of the most frustrating conditions for both patients and physicians: scars that extend beyond the original wound, tend to recur after surgery, and rarely respond definitively to conventional treatments. A randomized phase II clinical trial published in 2023 in the American Journal of Stem Cells, conducted in the Plastic Surgery Unit of the National Hospital in Kampala, Uganda, evaluated the safety and feasibility of using autologous stromal vascular fraction—obtained from the patient’s own adipose tissue—in people with keloids, compared with standard treatment. The procedure proved to be safe and feasible in all participants, with no complications reported during follow-up (PMCID: PMC10195396). This opens new possibilities for treating keloids more effectively, offering patients a less invasive option with greater potential to prevent recurrence. If you are dealing with persistent keloids, it may be time to explore other alternatives that better align with your needs.

Skin aging

Restore the firmness and youthful appearance of your skin with stem cells!

When your skin does not respond as expected after an aesthetic treatment, or when the signs of aging remain despite your efforts, it is natural to wonder whether there is something that can go deeper. Dr. Young In Lee and her team published a study in the Journal of Cosmetic Dermatology (2020) in which they evaluated the effects of stem cell derivatives applied to the skin after ablative fractional laser treatment. The results showed notable improvements in wrinkles and pigmentation compared with the group that did not receive the cellular treatment, and analysis also demonstrated that the treatment helped reduce inflammation and increase type I collagen production.

Stem cells not only help the skin recover, they also activate the natural processes the skin needs to regenerate from within, visibly improving texture, tone, and firmness. If you are looking for a way to enhance your aesthetic results more deeply, this could be an excellent option for you.

Restore your skin’s elasticity and firmness with stem cells!

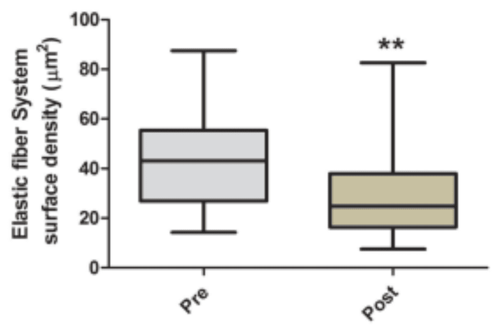
Over time and with sun exposure, it is natural for the skin on your face to lose firmness and elasticity, reflecting wear that goes beyond the surface. Dr. Luiz Charles-de-Sá and his team published a study in Plastic and Reconstructive Surgery (2020) in which they evaluated injections of autologous mesenchymal stem cells, obtained from the patient’s own fat, to treat solar elastosis. After treatment and skin analysis 3 to 4 months later, the researchers observed the formation of new oxytalan and elaunin fibers in the superficial layer of the skin, as well as the replacement of damaged deposits with a normal elastin network.

Damaged skin was able to regenerate, restoring essential components for firmer, healthier skin. If you are looking for a natural and science-based way to improve your skin’s elasticity, this approach could be exactly what you need.

Figure 5. Elastic fiber system of untreated sun-exposed facial dermis (Top, Left) vs treated (Top, Right). A decrease in dermal elastic material is observed in skin treated with stem cells (Bottom).

DOI: 10.1097/PRS.0000000000006867

Alopecia

Regain your confidence with fuller, stronger hair!

Hair loss from alopecia areata does not only affect appearance; it also has a major emotional impact, causing loss of confidence and a constant search for effective solutions. In a study published in Stem Cell Research & Therapy by Anderi and collaborators (2018), the use of autologous adipose-derived stem cells—that is, cells obtained from the patient’s own tissue—was evaluated by injecting them into the scalp of twenty individuals with alopecia areata. After six months, all patients showed remarkable hair regeneration: hair density increased from 85 to 121 hairs per cm², hair shaft diameter increased from 60 to 80 microns, and hair anchoring improved significantly.

Some patients require implants, but they achieve better results once the procedure is done. 

Stem cells can stimulate hair follicles, supporting fuller, thicker, and stronger hair without the need to rely on external sources. If you are dealing with hair loss and traditional solutions have not been enough, this alternative could be the right option for you.

A step toward hair regeneration: Alopecia areata treated with stem cells

Living with alopecia areata means dealing not only with visible hair loss, but also with the uncertainty of not having an effective treatment. In a study carried out by Czarnecka and collaborators from the Regional Specialist Hospital and the Wrocław Medical University in Poland, the use of allogeneic mesenchymal stem cells from a donor was evaluated through intradermal injections into the affected areas of four patients with alopecia areata. After treatment, all participants showed hair regeneration, with an average 67% growth in the treated areas, reaching the greatest increase during the first three months, with an average rise of 52%.

A targeted cellular injection can activate biological mechanisms that revitalize hair follicles, generating a continuous regenerative response without adverse effects.

If alopecia areata is affecting your quality of life and traditional options have not been enough, this alternative may be what you are looking for.

Figura 6. Aumento del número de cabello tras la terapia con células madre. Imágenes representativas del cuero cabelludo antes ( ac ) y 6 meses después del trasplante ( bd ). DOI: 10.1186/s13287-018-0889-y

Figure 7. Improvement of alopecia over 24 weeks after stem cell treatment.   DOI: 10.17219/acem/132069 A step toward hair regeneration: stem cells for treating alopecia Hair loss, especially when traditional solutions are not effective, can cause significant frustration and a major decline in quality of life. Ahn and collaborators from the Stem Cell Treatment & Research Institute in Seoul, South Korea, published a study in the World Journal of Clinical Cases (2021) describing three clinical cases in which minimally manipulated mesenchymal stem cells derived from human umbilical cord tissue were used as a treatment for alopecia. After administration of these cells, a positive hair response was observed in all patients, along with a favorable safety profile. This indicates that umbilical cord-derived stem cells can activate hair follicle regeneration, representing an effective and safe option for those who have not responded to conventional treatments. If you are looking for a solution for hair loss supported by scientific research, this approach could be right for you.

Figure 8. A: Image showing the locations of alopecia lesions before stem cell transplant; B: Case 2 before stem cell transplant; C: Case 3 before stem cell transplant.

doi: 10.12998/wjcc.v9.i15.3741

Figure 9. A and B: No significant changes were observed on day 33 (A) or day 53 (B) after the first transplant; C: Hair covered the lesion on day 164 after the first transplant; D: These images were taken 22 months after the last transplant.

Your skin deserves more than a conventional treatment; discover what Biocelk® can do for you.

Testimoniales

What is it?

We work with allogeneic mesenchymal stem cells extracted from human umbilical cord tissue, selected for their high regenerative potential, safety, and universal compatibility.

  • They do not generate allergic reactions
  • They do not form antibodies
  • They carry no risk of tumor formation
  • They are supported by science as one of the best alternatives for regenerative dermal treatments

In some cases, if the use of cord-derived cells is not appropriate, we also work with autologous stem cells extracted from the patient’s own adipose tissue. 

Who is it for?

This treatment is ideal if you:

  • Notice visible signs of aging on the face, neck, décolletage, or hands
  • Are looking for a natural alternative to improve your skin quality
  • Have scars, stretch marks, or spots you want to reduce
  • Have tried other aesthetic treatments without lasting results
  • Want to prevent skin aging and keep your skin healthy

How is the procedure performed?

The procedure involves direct intradermal application in the area to be treated (face, neck, hands, etc.). It is a safe, outpatient, and minimally invasive process that does not require general anesthesia.

In some cases, it can be combined with PRP (platelet-rich plasma) to enhance results.

Approximate duration: 45 to 60 minutes
Recovery: No downtime required

The treatment works at a deep level by stimulating fibroblasts and keratinocytes, improving the extracellular matrix (ECM), regulating pigmentation (anti-melanogenic effect), and providing anti-inflammatory, antioxidant, and anti-aging benefits.

 
 

Para darte de alta en la red médica de Biocelk, por favor completa el siguiente formulario. En breve nos contactaremos contigo.

Agrega los datos de la paciente que quieres referir para que lo podamos contactar a la brevedad.

Para darte de alta en la red médica de Biocelk, por favor completa el siguiente formulario. En breve nos contactaremos contigo.